Article
Compressor test, usually performed at OEM facilities, are in general performed to validate the performance as stated by the OEM in the machinery specification sheets.
Centrifugal compressor shop test represents one of the main step in the machine manufacturing process. The importance of this phase is also attested by the fact that, in almost all cases, the project quality requirements includes a witnessed test, to be executed in order to assure that the manufacturer predictions meet the specification (design) performance.
Shop testing for centrifugal compressors is than a quite delicate task. In general it may happen that inlet conditions, during the test, are different from specification conditions defined in the machines data sheets.
Sometime the need for different inlet pressure and temperature may occur, sometime the test could require a gas different from the one specified in the data sheet; in some cases both conditions may turn up simultaneously. The ASME PTC10 (Performance Test Code on Compressors and Exhausters) standard identifies these possible different test cases and refers to Type1 Test for test with same specification gas and specification conditions, and Type2 test for test with different gas and/or inlet conditions.
In those cases where inlet conditions during the test are different from the ones recalled in the specifications, the OEM provides usually the compressor performance maps adjusted to test conditions in order to superimpose on that the compressor performance measured during the test.
Similar consideration may apply also to field testing where, moreover, the inlet conditions, at test time, may not be under full control and may represent an independent variable for the test process. Also in certain circumstances inlet conditions may vary in time in unpredictable way. In these last particular cases the availability of computational tools for the prediction of compressor performance under changed (off-design) inlet conditions may be of valuable help.
PURPOSE AND METHOD DESCRIPTION
This paper is aimed to show the results of a numerical simulation of centrifugal compressor test performance for a type 2 test, with test gas different form specification gas, where test gas is R134a. The input for this analysis consists in the compressor performance maps provided by the OEM in specification conditions i.e. with a specification gas, in the considered case an hydrocarbon.
A numerical analysis is executed, using the IPC software CMap, in order to predict the compressor performance when running in test conditions with a test gas. The output of this analysis is a performance map referenced to specific test conditions with R134a refrigerant (simulated test map). The obtained simulated map (predicted performance adjusted to the test gas R134a) may be than used as reference for a comparison to the test performance measured during the shop test.
The main parameters used to assess the performance of a centrifugal compressor are:
Some additional conditions are needed to allow a significant comparison of these parameters in the two different referenced conditions (specifications/test). From a fluid dynamic point of view a strict similarity of flow at each performance point is necessary in order to compare the predicted performance with tested performance. For this reason the non-dimensional parameters head coefficient, flow coefficient and Mach number must be conserved primarily (some additional conditions are requested on, the machine Reynolds number and the Machine Mach number and volume ratio).

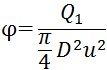
flow coefficient

head coefficient

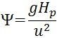
Mach number

Reynolds number
This equality of non-dimensional parameters among test and specification conditions, eliminates the requirement to test the centrifugal compressor at the same speed as OEM predicted performance in specification conditions and allow, within a certain range , to test with gas mixes different form the design one.
In this paper the test performance has been predicted considering Freon R134a as test gas. R134a is in fact a typical gas used in many performance test.
SIMULATION
As said the starting point is the availability of an OEM centrifugal compressor performance curve in specification conditions, along with relevant gas mix composition and thermodynamic conditions (pressure and temperature). Having this input data available, the CMap software will perform all complex calculations in fully automated way and will produce the predicted compressor performances for test inlet pressures, inlet temperatures and Freon R134a different from the design / reference ones.

Fig 1: screen shot Cmap[/caption]
CMap allows to perform the compressor performance prediction using different equations of state (EOS) depending on gas mix considered in the calculation. For hydrocarbon gas mixture Lee-Kesler or PREOS can be used. For Freon R134a the MBWR EOSshall be selected to determine the thermodynamic properties of the operating fluid.
After this first calculation step it will be possible to proceed to the comparison of the predicted tested performances to the actual tested performances. The next table shows the inlet condition of predicted performance and inlet condition of tested performance:

Table 1[/caption]
Starting from the centrifugal compressor performance map in specification conditions, the tested performance curves have been calculated.
The following picture shows the predicted tested performances curves obtained.

Fig 2: discharge pressure in Specification condition[/caption]

Fig 3: polytropic head in Specification condition[/caption]

Fig 4: discharge pressure in test condition (with Freon R134a)[/caption]

Fig 5: polytropic head in test condition(with Freon R134a)[/caption]

Fig 6: compressor surge in actual operative conditions[/caption]
METHOD POSSIBLE APPLICATIONS
As stated in the beginning of this paper, a first application mode of this method consists in the execution of a comparison of the test predicted maps to the measured test performance. Using software the OEM specification (Design) maps are in fact quickly adjusted to the test conditions with a test gas and different inlet pressure and temperature. Thanks to the software this operation is quick and straightforward. Obtained predicted maps can be easily superimposed to measured test maps. This comparison will allow to check the capability of the machine to match the specified conditions.
The proposed method can be profitably used also to predict the centrifugal compressor overall performances when running with operative inlet conditions different from specification ones.This may be the case of a compressor running in operative conditions different form specification ones. In this case the proposed method will allow to predict the expected compressor performance when running in actual inlet conditions. The availability of predicted performance (i.e. design performance adjusted to actual operative conditions) will also allow a new kind of diagnostic capabilities arising from the possibility of comparing actual performance to expected ones: a deviation of the measured (actual) performance from the expected (adjusted) ones, beyond a certain threshold, may be read as a first indication of some of phenomena or problem affecting the machine and causing its operative parameters to deviate from expected values.
The detection of a deviation of actual efficiency form the expected efficiency (i.e. design adjusted in actual condition) is a meaningful indicator of compressor healthy status. This is a powerful feature that permits to have continuous indication about how much the machine behavior is aligned with design expectations. These evaluation can be than used to have historian trends and to build pictures of the machine status along the operation period. Collected data will be useful to support decision making on predictive maintenance activities plans an operations.
Availability of such kind of compressor advanced protection feature increases the level of machinery protection and allows to avoid potential critical failures due to the catastrophic effect of the compressor surge as well as the dangerous effect of possible surging events of short duration but with repetitive occurrence, whose cumulative action may cause an important reduction of the machine lifetime if not detected.
Power your knowledge with the latest in turbine technology, engineering advances, and energy solutions—subscribe to Turbomachinery International today.