Article
Author(s):
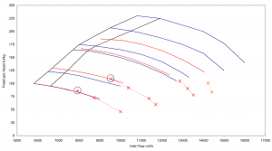
In a recent site acceptance test, it was found that the shape and position of the centrifugal compressor curves varied from the design performance curve. These compressor curves were taken from the compressor as tested curve and contractual data sheet, and then used to calculate polytropic head and actual inlet flow for 12 test data points, at over 4 different compressor speeds. These values were further verified using software (HYSYS) calculation.
The performance points were plotted on the design performance curves. In addition, the fan laws were used to calculate additional ‘design’ speed curves, at compressor speeds equal to those used to gather the performance data. This allowed a direct comparison between the measured performance points and the calculated design speed curves. The plot is shown below -

Where
Interpretation of data
The performance data at site correlated well with the design compressor curves. This was indicated by a DEV value on the compressor controller of 0.05 (i.e. almost 0) for two of the points taken (circled). This raised doubts regarding the correct set-up and positioning of the Compressor controller SCL.
Compressor controller surge control line set-up
The set-up of the compressor controller SCL was investigated, particularly the calculation of flowrate from the V-Cone flowmeter device pressure drop (deltaP) reading. It was seen that for a given deltaP, the calculation of mass flowrate by the compressor controller did not correlate with the calculated mass flowrate by process engineering department.
For example, flow measuring device (FMD) delta P of X bar at X bara suction pressure:
Compressor controller equated this to Y kg/h
Process engineering department equated this to Z kg/h
Root cause of discrepancy:
It was found from the compressor controller manual that the system calculates flowrate from the pressure drop across the flowmeter device, and it is dependent on a constant A, as per the equation:
ΔP=( Qs/A)2 ρs
Where
Qs = Suction flowrate
ΔP = pressure drop across the flowmeter device
ρs = Suction gas density
A = FMD (Flow Meter Device) A constant
FMD A constant is calculated using a number of factors and coefficients specific to the flowmeter device sizing, as well as the service conditions:
A = N × Fa × CF × Y × E × β2 × D2
This equation enables the conversion of pressure drop across the device into flowrate in the compressor controller software. However, the values used in this formula as stated in the compressor controller manual, differed from the values stated on the flow measurement device data sheet. It was, therefore, suspected that compressor controller could have been supplied with incorrect flowmeter device sizing data.
To correct this error, an inaccurate constant ‘A’ was being used within the compressor controller software, and would subsequently lead to the incorrect calculation of flowrate by the compressor controller. This led to the compressor controller SCL being set up significantly to the right of the design SCL.
Corrective action
The compressor manufacturer and the compressor controller software supplier, along with the site process engineering department support, worked out the embedded errors in the calculations and resolved all discrepancies in the calculation of flowrate.
First, the nameplate of the flowmeter device in the field was reviewed to ascertain the correct device sizing. This data was used to calculate and check the compressor controller ‘A’ constant and ensure that the correct ‘A’ constant is used within the compressor controller software. The software will need to be updated in the field as required.
The compressor controller testing was then repeated to correctly set the Surge Control Line and shaping of compressor curve.
Power your knowledge with the latest in turbine technology, engineering advances, and energy solutions—subscribe to Turbomachinery International today.